장애 유형별 '무더위 대피' 장벽 넘쳐나
장애인 기후 변화 대응 정책 논의 필요

기후 변화로 폭염일수가 늘어나는 가운데 장애인이 장애 유형별 각기 다른 이유로 더위 대피에 어려움을 겪고 있다.
1일 여성경제신문 취재를 종합하면 장애인은 정신·신체장애 등 각 장애 유형별로 더위 대피에 어려움을 겪고 있으며, 폭염에 특히 치명적인 것으로 나타났다. 이에 따라 장애 유형별 구체적인 폭염 대응 매뉴얼이 필요하다는 목소리가 나오고 있다.
이날 기상청에 따르면 전국 대부분 지역에 폭염특보가 내려져 있으며 폭염 및 열대야 일수가 평년보다 증가했다. 올해 전국 폭염일수는 7.2일로 평년 수준(4.9일)보다 길고 열대야 일수 역시 8.9일을 기록해 평년(2.9일)의 3배가 넘었다. 폭염일수는 일 최고기온이 33℃ 이상인 날의 수를 의미한다. 특히 서울은 지난달 21일 이후 11일째, 강릉은 지난달 19일 이후 13일째, 제주는 지난달 15일 이후 17일째 열대야가 이어지고 있는 것으로 나타났다.
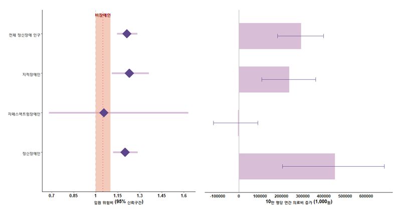
지난 4월 이환희 부산대학교 정보의생명공학대학 의생명융합공학부 교수팀은 지난 2006년부터 2021년까지 16년간 45만여 건의 장애인 병의원 방문 기록을 분석했다. 이를 바탕으로 여름철 폭염에 노출된 지적장애인, 자폐스펙트럼장애인, 정신장애인의 응급실을 경유한 입원 위험이 비장애인 인구에 비해 4배 이상 높다는 연구 결과를 발표했다. 해당 연구는 정신 보건 분야의 저명 국제학술지인 'Lancet Planetary Health'에 게재됐다.

이 교수팀에 따르면 비장애 인구의 입원 위험은 1.05배 증가한 데 비해 지적장애인은 1.23배, 자폐스펙트럼장애인 1.06배, 정신장애인은 1.2배 증가했다. 비장애 인구에 비해 정신장애 인구는 초과 입원 위험이 최대 4.6배의 증가 폭을 보였다. 평소 입원 인원을 100명이라고 가정한다면 폭염시 비장애 인구는 105명으로 5명 증가하지만 지적장애인의 경우 123명으로 23명 증가한다. 지적장애인 입원 증가 폭이 비장애인의 4.6배에 달하는 것이다.
물을 마시거나 에어컨·선풍기를 사용하는 등 일상에서 더위를 피하는 방법도 장애인들은 어려운 실정이다. 박주석 전국장애인건강권연대 간사는 여성경제신문과 통화에서 "발달장애인, 정신장애인 등 의사소통이 어려운 장애 유형의 경우 곁에 활동지원사나 보호자가 없으면 더위를 달래기 위해 차가운 물을 마시는 등의 일상적인 생활도 어렵기 마련이다. 그런데 이들은 활동 지원 시간도 부족하다. 장애인 활동 지원은 기능적 제한이 중심이다 보니 신체장애인 대상으로 설계돼 있다"고 설명했다.
신체장애인도 폭염 노출에 취약하긴 마찬가지다. 폭염시 휠체어를 이용하는 장애인은 '사막과 동행한다'고 표현할 정도다. 햇빛을 흡수하는 검은색, 금속 재질이 기본값인 휠체어는 기온이 올라가면서 휠체어의 온도도 빠르게 올라가기 때문이다. 박주석 간사는 "휠체어는 폭염시 햇빛을 받아 급격히 뜨거워진다. 휠체어 이용자가 야외 활동을 하는 경우 무더위쉼터 등 폭염 대피 장소를 이용해야 하는데 주로 마을회관, 경로당 등이 지정된다"며 "마을회관은 장애인 편의시설 의무 설치 대상에 포함돼 있지 않다. 장애인 편의시설인 대피 장소가 얼마나 설치되었는지 관리조차 안 되고 있다"고 설명했다.

그러면서 "특히 경로당은 노유자시설 중 유일하게 편의시설 설치율이 평균 이하인 장소다. 무더위쉼터로 지정되는 장소 대부분이 장애인 접근성이 열악한 곳인 거다. 이러한 이유로 장애인들은 무더위 때 외출 자체를 하지 못한다"고 말했다.
전 세계적으로 장애인이 겪는 폭염 영향을 다룬 연구나 제도·정책은 부족한 실정이다. 장애인의 기후 변화 대응 정책 논의가 필요한 시점이라는 지적이 제기되고 있다. 특히 장애 유형별로 구체적인 지원 방안이 필요하다는 목소리가 나온다.
전국장애인건강권연대 '장애인 기후 재난 대책 마련 촉구 요구안'에 따르면 신체 기능적으로 뇌의 시상하부 손상이나 미발달로 체온 조절이 어렵고, 특정 약물 부작용으로 땀이 나지 않거나 수분 손실이 클 경우 폭염에 취약해지기 마련이다. 또 정신장애인, 지체장애인, 뇌병변장애인 등 의사소통이 어렵고 신체를 자유롭게 쓰기 힘든 장애 유형 등은 폭염 관련 재난 문자조차 확인하기 어려운 것으로 나타났다.
박주석 간사는 "현재 장애인 대상 폭염 대응 매뉴얼은 부재하다. 재난 상황에 특히 취약한 장애인이 있는 가구에 먼저 안부를 확인하고 대피에 대한 이동지원 등 재난 대응 제도들이 필요하다"고 제언했다.

